✔Физики вывели формулу расчета времени идеальной варки яиц - «Интернет и связь»
В следующие два воскресенья значительная часть населения страны сварит и съест гораздо больше яиц, чем в обычный день. Физики давно вывели формулу расчета времени варки идеального яйца и даже превратили ее в удобный онлайн-калькулятор. Подробно об этом пишет popmech.ru.
Как сварить яйцо? Поместить в кипяток и держать несколько минут (некоторые кладут яйца в холодную воду и ставят на огонь, но такой метод дополнительно осложняет расчеты, поэтому мы рекомендуем класть яйца в сильно кипящую воду).
Есть лайфхаки: например, чтобы яйцо легче было чистить, можно добавить в кипяток уксус или разбить готовое яйцо и погрузить ненадолго в холодную воду, чтобы вода проникла между белком и скорлупой и последняя легче отделялась. Но главное — время варки.
Разный состав белка и желтка определяет их разную реакцию на нагревание: белок сворачивается чуть быстрее. Передержав яйца в горячей воде, можно получить неаппетитную зеленоватую пленку сульфида, которая образуется, когда перегрев высвобождает связанную серу белка, и та реагирует с железосодержащими солями, содержащимися в желтке.
С точки зрения физики варка яиц — довольно сложный процесс, на агрегатное состояние желтка и белка по завершении варки влияет множество факторов: температура воды при погружении и скорость закипания, начальная температура яйца (разная в зависимости от того, хранили вы яйца в холодильнике или при комнатной температуре), высота вашей кухни над уровнем моря (это влияет на температуру кипения воды, в горах она будет ниже и варить придется дольше).
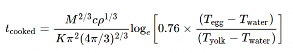
Учесть большинство этих факторов можно вручную с помощью уравнения, составленного физиком Чарльзом Уильямсом из университета Экстера. Вот оно:
t — это время варки, m — масса, K — коэффициент теплопроводности яйца, ywr — соотношение масс желтка и белка. Кроме того, вам нужно точно знать температуру яйца (Tegg) и температуру желтка (T), плюс владеть логарифмами.
Если логарифмы остались в школе, а яиц всмятку и вкрутую хочется, можно воспользоваться онлайн-калькулятором. Для расчетов вам понадобятся кухонные весы (правда, можно вместо веса яйца указать категорию) и расчет своей высоты над уровнем моря (например, с помощью приложения-альтиметра).

Если вы заметили ошибку в тексте новости, пожалуйста, выделите её и нажмите Ctrl+Enter
