✔Ученые назвали страну, способную пережить зомби-апокалипсис - «Интернет и связь»
Ученые разработали статистическую модель выживания во время зомби-апокалипсиса, рассмотрев распространение эпидемии в обществе, в котором кроме обычных жителей есть какое-то количество солдат, специально обученных нейтрализовать зомби. Оказалось, что именно включение в модель армии может стать ключевым фактором для спасения человечества. Правда, достаточное количество военных пока только у одной страны в мире — Северной Кореи. Препринт статьи исследователей доступен на arXiv.org, кратко о работе рассказывает издание N+1.
В случае наступления гипотетического зомби-апокалипсиса люди в первую очередь будут ориентироваться на информацию из популярной культуры. Советы по выживанию в фильмах о зомби касаются в основном личного контакта человека с зомби и основаны на их индивидуальных особенностях: небольшой скорости передвижения и возможности нейтрализовать зомби, уничтожив его мозг. Для того, чтобы разработать эффективные методы борьбы с возможной зомби-эпидемией на глобальном уровне, ученые предлагают использовать статистические модели, которые описывают распространение эпидемии и динамику численности населения.
Как правило, подобные статистические модели включают два типа участников: обычных людей и зомби. Группа бразильских физиков под руководством Жуана Паулу де Мендосы (Jo?o Paulo A. de Mendon?a) из Университета Жуиса-ди-Форы разработала динамическую математическую модель вспышки зомби-эпидемии, в которую включила еще одну группу: военных, которые, в отличие от обычных людей, обладают средствами борьбы с зомби и могут эффективно их нейтрализовать.
Предложенная статистическая модель представляет собой сетку из определенного количества узлов, по которой случайным образом перемещаются элементы, принадлежащие одной из трех различных групп. Если два элемента из разных групп одновременно окажутся на одном узле сетки, то между ними произойдет взаимодействие, которое с определенной вероятностью приведет к одному из нескольких возможных исходов. Так, при встрече обычного человека и зомби может произойти три события: либо человек убивает зомби, либо зомби убивает человека, либо человек сам превращается в зомби. Для простоты все три варианта модель рассматривала как взаимоисключающие, соответственно, суммарная вероятность этих событий равнялась единице. Те же три варианта возможны и для встречи солдата с зомби. При встрече солдата с обычным человеком убивать никто никого не будет, но ученые предполагают, что с некоторой вероятностью солдат может поделиться с обычным человеком оружием и обучить его приемам борьбы с зомби, так что обычный человек превратится в солдата.
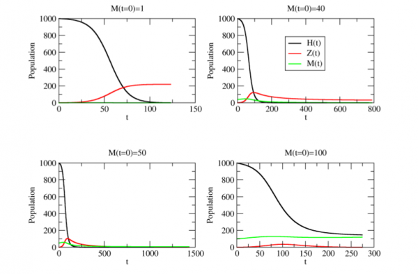
Динамику трех популяций с течением времени ученые исследовали численно с помощью компьютерного моделирования. Начальное состояние системы представляло собой три популяции: группа обычных людей численностью 1000, один зомби и различное число представителей армии. Все элементы располагаются на 2000 узлах сетки и за один шаг по времени могут переместиться в один из соседних узлов. Авторы работы отмечают, что искусственное ограничение соотношения начальной численности первых двух групп сказывается и на конечных данных, поэтому для больших групп людей количественные результаты будут отличаться от полученных учеными.
Исходя из значений семи вероятностных параметров, ученые исследовали несколько возможных конфигураций системы: базовая модель сильной армии, а также модель очень сильной армии, модель жестоких зомби и модель человечества с высокой сопротивляемостью. Так, например, для модели сильной армии у группы численностью 1000 человек появляются шансы на спасение только при начальном количестве солдат не меньше 47. При этом для сохранения хотя бы 20 процентов населения число солдат должно превышать 100.
Авторы работы отмечают, что в реальности соотношение военных и обычных граждан, как минимум, на порядок меньше наименьшего необходимого для выживания. По данным отчета The Military Balance 2017, достаточным количеством военных обладает только КНДР (47,4 активного представителя вооруженных сил на 1000 человек). У всех остальных стран этот показатель ниже: у США — 4,2, у Бразилии — 1,6, у России — 7,1, у Беларуси — 5.
По словам ученых, во всех конфигурациях системы наличие специально обученных для нейтрализации зомби солдат становится залогом выживания человечества. Именно включение таких элементов в систему вызывает фазовый переход статистической системы в состояние выживания. При этом для каждой из конфигураций фазовый переход происходит при своем определенном начальном числе таких элементов в системе.
Читайте также:
Читайте также
В Нигерии распространяется лихорадка Ласса, против которой нет вакцины
Ученые рассказали, что происходит в мозге человека на последних секундах жизни
175 млрд долларов на оборону: Китай утвердил рекордный военный бюджет на 2018 год

Если вы заметили ошибку в тексте новости, пожалуйста, выделите её и нажмите Ctrl+Enter
